Trends in weight loss strategies and sources of guidance for high-level judo athletes
Morales, J., Curto, C., Franchini, E. et al. Trends in weight loss strategies and sources of guidance for high-level judo athletes during the last four decades. Sport Sci Health 22, 148 (2026).

ABSTRACT
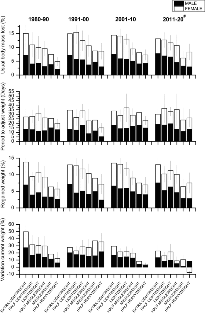
Purpose: This cross-sectional retrospective study aimed to examine trends in rapid weight loss (RWL) practices and sources of guidance among high-level judo athletes over the past four decades, considering sex, competitive period, and weight category.
Methods: A total of 686 former elite judo athletes from Brazil, Italy, Japan, and Spain completed an adapted version of the Rapid Weight Loss Questionnaire (RWLQ). The questionnaire assessed RWL frequency, methods used, and influential figures. Generalized Linear Models and correspondence analyses were applied to evaluate temporal trends and associations.
Results: Approximately 79% of athletes reported always or almost always engaging in RWL. The average pre-competition body mass loss was 5.7%, with higher values observed in lighter weight categories and among female athletes. Post-weigh-in body mass regain closely mirrored pre-competition losses. Over time, the influence of professionals (nutritionists, coaches, and physicians) increased, alongside greater use of structured strategies such as exercise, fasting, and food restriction. The use of extreme methods (vomiting, laxatives, diuretics) remained low and stable.
Conclusions: RWL remains highly prevalent in competitive judo. Although guidance has shifted toward greater professional support and more structured practices, potentially reducing risk, weight cycling behaviors persist. These findings highlight the need for educational and policy interventions to promote safer weight management strategies, particularly during and after athletes’ competitive careers.
Download the full article HERE.

